Троечник - это тот, кто что-то слышал, что-то знает, но ничего не в состоянии довести до конца. Троечников в изобилии плодит наша система образования, щедро заселяя ими все ниши государственного управления и даже бизнеса.
Сегодня много говорят о коррупции, и это, конечно, проблема важнейшая. Проблема троечников не так заметна, но на самом деле мало в чем ей уступает по остроте. Это утверждение можно проиллюстрировать двумя примерами на наиболее популярные сегодня темы.
"Откатом" для государства являются налоги и сборы, которых при такой системе госзакупок будет все меньше
Первый пример - система госзакупок ProZorro. Ее создали и задействовали (почему-то только сейчас) для экономии госсредств и широко разрекламировали как одну из наиболее удачных реформ. Действительно, вроде все сходится: открытые торги приносят экономию по понятным всем причинам.
К сожалению, человек, разбирающийся в конкретных обстоятельствах украинского бизнеса, ознакомившись с результатами торгов в системе ProZorro, быстро убеждается в том, что среди победителей, ставших поставщиками товаров и услуг для госпредприятий и бюджетных организаций, явно преобладают физлица-предприниматели и сомнительные фирмы.
Сомнительными я называю фирмы, известные в своих отраслях, как сильно экономящие на налогах за счет банального обналичивания и, соответственно, недоплачивающие одновременно налог на прибыль, НДС, подоходный налог, единый социальный взнос и военный сбор.
Заметны и фирмы, производные от загадочным образом сохранившихся предприятий из Страны дураков, возникшей на Востоке Украины усилиями их российских братьев по разуму. Эти родительские фирмы используются как мусорные, через которые деньги транзитом сливаются в обнальные конторы.
В процессе крупных госзакупок засветились и фирмы, специально организованные под эти закупки, и участники торгов, предлагающие товары по ценам явно ниже себестоимости. Краденые, что ли?
Что касается физлиц-предпринимателей, то многие из них оформлены на своих сотрудников известными фирмами все с той же целью экономии на налогах. Через них чаще всего и продаются товары по удивительным ценам.
Вывод прост: побеждают в тендерах на госзакупки в основном за счет самого заказчика, то есть государства, его бюджета и социальных фондов.
Когда я задал вопрос на эту тему крупному чиновнику, отвечающему в правительстве за внедрение системы ProZorro, тот ответил, что их дело - организовать прозрачные торги, а ловить налоговых уклонистов - дело фискалов и правоохранителей. Такой вот государственный троечник (из бизнеса, кстати).
Когда чиновник получает откат от суммы госзакупки, он хорошо понимает, что самая низкая цена не обязательно бывает самой привлекательной. К сожалению, государство чиновники с собой не ассоциируют, иначе они перенесли бы тот же принцип и на государственный интерес: "откатом" для государства являются как раз налоги и сборы, которых при такой системе закупок будет собираться все меньше. В нынешнее трудное для бизнеса время это означает вытеснение с рынка исправных налогоплательщиков и замещение их малополезным для общества жульем.
Скажем прямо, большого ума для организации открытых электронных торгов не надо. Совсем немного требуется и для доведения их до ума. Но, видимо, не для троечников. В противном случае они бы сообразили, что процесс взаимоотношений государства с поставщиками двусторонний: поставщикам - деньги за товары и услуги, государству - налоги и сборы. Если этого не учитывать, то будет поощряться неуплата налогов, а деньги, которые раньше шли в карманы чиновников, тихо перейдут в карманы теневых дельцов.
Исправить положение можно. Для этого надо сделать две вещи.
Первая - допускать к торгам только те фирмы, которые согласятся обнародовать свою налоговую нагрузку. Для этого они должны подать заявление в налоговую инспекцию с просьбой о разрешении такого обнародования. После этого налоговая на своем сайте размещает открытые данные о доле всех без исключения налогов и сборов (без разбивки на виды) в общем обороте фирмы за последний отчетный год. Предприятие, участвующее в торгах, должно иметь бонус при определении победителя ровно в размере этой доли. Технически это несложно, налоговики и так считают налоговую нагрузку своих клиентов, правда, не по всем налогам.
Вторая - запретить участие в госзакупках фирмам, которые при одних и тех же владельцах контрольного пакета акций (доли в уставном фонде) существуют менее пяти лет. Справка об этом должна подаваться самим участником торгов, а ответственность за предоставление неправдивых сведений должна быть предусмотрена законом.
Вновь созданные фирмы, которые хотят участвовать в госзакупках, могут это делать только по специальному разрешению уполномоченного госоргана, аргументированное решение которого должно находиться в открытом доступе до начала торгов.
Не мешало бы, наконец, ограничить поставки товаров российского происхождения за госсредства. Такие закупки следует проводить только по отдельным решениям правительства. Должна быть предусмотрена персональная ответственность чиновников за нарушение этого порядка, но без излишней бюрократизации: по заявлению о происхождении товара самого поставщика, а контролируют пусть конкуренты. Сомневаюсь, что в России к закупкам украинских товаров относятся иначе.
К слову, многие товары, поступающие к нам из РФ, выпускаются дочерними предприятиями западных производителей, которые в случае необходимости прибегают на территории Украины к беззастенчивому демпингу для подавления украинских конкурентов. В результате инвестиции идут в Россию, а проблемы - к нам.
Теплотарифы - цугцванг для Кабмина
Второй пример того, как троечники в состоянии подорвать любое начинание правительства, - это история с тарифами на тепло. Я уже было думал не касаться этой темы ввиду того, что Кабмин сделал попытку спасти положение с завышенными тарифами, подготовив новую методику определения платы за теплоснабжение в домах без счетчиков, однако троечники и тут постарались.
Новая методика, предусматривающая расчет платы за тепло в домах без приборов учета на основе реального потребления тепловой энергии в домах, оборудованных такими приборами, содержит новые ошибки. К тому же правильность заложенных в нее исходных данных невозможно проверить.
Эйфория от экономии средств потребителей тепла за счет использования счетчиков быстро пройдет в холодные месяцы, когда суммы в счетах за отопление вырастут в разы. Дело в том, что методика, введенная Кабмином (постановление №1037 от 30 октября 2015 г.), предусматривает равномерную оплату тепла в течение отопительного сезона за счет использования единого, среднего за весь сезон тарифа.
Оплата по показаниям счетчиков, естественно, не может обеспечить подобное удобство. Для части потребителей суммы, которые придется заплатить за тепло в январе и феврале, окажутся неподъемными. Предложенная Кабмином рассрочка платежей тоже подойдет не всем.
Сейчас экономию от использования счетчиков тепла оценивают в 17–20%. Логичнее было бы сократить на эту величину норматив потребления теплоэнергии за отопительный сезон на 1 кв. м отапливаемой площади (по Киеву сейчас это 0,135 Гкал), заложенный в методику расчета платы за тепло для домов без счетчиков, и, конечно же, исправить ошибки в формулах.
В статье В.Дейнеги (ZN.UA №45 от 26 ноября 2016 г.) правильно указано, что формулы по методике определения платы за отопление для домов, не оборудованных приборами учета, утвержденные постановлением КМУ №1037, некорректно подсчитывают количество дней отопления в неполных месяцах (октябре и апреле). Из-за этого для домов, которым тепло поставлялось в течение большего расчетного срока (для октября в Киеве - свыше 15 суток), плата за теплоснабжение значительно завышается, а для тех, у которых тепло было меньше этого срока, - занижается.
Но есть еще две ошибки, связанные с неправильным учетом температуры воздуха. Первая заключается в том, что когда, например, в октябре тепло в дома подавалось 20 суток, то "сверхнормативные" пять суток согласно методике Кабмина оплачиваются по установленному среднему за сезон тарифу (по Киеву - 32,97 грн за квадратный метр), еще и увеличенному пропорционально более низкой, чем обычно, температуре октября. То есть эти пять суток относительно теплого октября предлагается оплачивать по тарифу, превышающему среднезимний!
Вторая ошибка связана с сущностью среднего за расчетный сезон тарифа. Использование такого усредненного тарифа означает, что в теплые месяцы плата за тепло должна быть выше, чем за фактическое потребление, а в холодные - ниже. Это сделано, очевидно, логически, с целью более равномерной оплаты тепла на протяжении отопительного сезона - в январе и феврале не придется тратить слишком большие суммы.
Но формулы Кабмина предусматривают индексацию всей платы за тепло, например, в октябре на соотношение фактической температуры октября и ее многолетнего среднего значения, несмотря на то, что часть этой платы является в действительности авансом за более холодные, чем октябрь, месяцы и никак не зависит от того, был октябрь теплым или холодным.
Вследствие всех ошибок, допущенных в методике Кабмина, можно получить разный финансовый результат для теплопоставщиков. В зависимости от фактической продолжительности отопительного сезона и графика подключения к теплу жилой площади они могут получить как прибыль, так и убытки.
Что же касается потребителей, то одни получают значительно завышенные суммы оплаты за тепло в квитанциях (они, конечно, жалуются), другие - заниженные.
Далее предлагаю корректную методику определения платы за тепло для домов без счетчиков.
Обозначу в максимальном соответствии с методикой Кабмина:
Пі - размер месячной (і - номер месяца) платы за услугу по централизованному отоплению для населения (физических лиц) в случае отсутствия в квартире (доме усадебного типа) и на вводах в многоквартирный дом средств учета тепловой энергии за расчетный период на протяжении отопительного сезона;
ТО - одноставочный тариф на услугу по централизованному отоплению для населения (физических лиц) в жилых домах без домовых и квартирных средств учета тепловой энергии, грн/кв. м за расчетный период в течение отопительного сезона (с НДС). Для Киева на 2016 г. ТО = 32,97 грн;
S - отапливаемая площадь квартиры (дома усадебного типа) потребителя, получающего услугу по централизованному отоплению и не имеющего домового или квартирного средства учета тепловой энергии, кв. м;
nфi - фактическое количество суток предоставления услуги по централизованному отоплению в і-м месяце (для Киева в октябре от 9 до 20 суток в зависимости от даты подключения);
ni' - календарное количество суток в і-м месяце (в октябре ni' = 31 сутки);
ni - продолжительность отопительного периода в і-м месяце, которая учтена в установленных тарифах на услугу по централизованному отоплению для населения (физических лиц) в случае отсутствия в квартире (доме усадебного типа) и на вводах в многоквартирный дом средств учета тепловой энергии (в октябре для Киева ni = 15 суток);
N - общая продолжительность отопительного сезона, которая учтена в установленных тарифах на услугу по централизованному отоплению для населения (физических лиц) в случае отсутствия в квартире (доме усадебного типа) и на вводах в многоквартирный дом средств учета тепловой энергии (для Киева N= 176 суток);
tвн - средняя расчетная температура внутреннего воздуха в помещениях квартиры или дома усадебного типа, °С (на 2016 г. установлено tвн = 18°С);
tср о і - средняя расчетная температура внешнего воздуха для соответствующего населенного пункта, которая учтена в установленных тарифах на услугу по централизованному отоплению в і-м месяце, °С (принимаем на уровне средней многолетней температуры за і-й месяц; в Киеве, по данным Центральной геофизической обсерватории, в октябре tср оі = 8,1°С);
tср о ф і - средняя фактическая температура внешнего воздуха за период предоставления услуги по централизованному отоплению в і-м месяце для соответствующего населенного пункта, °С (принимаем на уровне средней фактической температуры за і-й месяц; в Киеве в октябре tср о ф і = 6,5°С, ПАО "Киевэнерго" использует именно такие значения для расчетов);
tср о - средняя расчетная температура внешнего воздуха для соответствующего населенного пункта за всю продолжительность отопительного сезона, за который установлен тариф на услугу по централизованному отоплению для населения (физических лиц) в случае отсутствия в квартире (доме усадебного типа) и на вводах в многоквартирный дом средств учета тепловой энергии, °С.
tср о рассчитана по Киеву как среднемесячная многолетняя за 176 суток отопительного сезона. Учтенный период отопления в октябре - 15 суток, в апреле - 10 суток. В октябре и апреле использованы показатели средней многолетней температуры за целые месяцы.
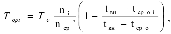
Плата за квадратный метр отапливаемой площади для конкретного потребителя за і-й месяц (назовем эффективным тарифом на отопление и обозначим Тоі) будет состоять из двух частей. Первая (назовем регулятивной частью тарифа на отопление и обозначим Торі) не зависит от фактических показателей температуры воздуха или количества суток отопления за месяц. Она обусловлена использованиям среднего тарифа за сезон (ТО) для более равномерной оплаты потребителями за услугу по централизованному отоплению. Например, в октябре мы авансируем оплату отопления в более холодные месяцы, а в январе эта часть будет отрицательной из-за того, что часть оплаты перенесена на более теплые месяцы. Если в октябре в вашем жилище вообще не было отопления, все же придется платить аванс за будущие холодные месяцы. Суммарно за отопительный сезон эта часть тарифа равняется нулю.
в этой формуле средняя продолжительность календарного месяца расчетного периода
nср' = суток, где:
0,135 Гкал - среднее по Киеву потребление тепловой энергии за отопительный сезон на квадратный метр отапливаемой площади, рассчитанное "Киевэнерго";
1416,96 грн - установленный на сезон 2016–2017 гг. тариф за 1 Гкал; 32,97 грн - тариф на услугу по централизованному отоплению ТО;
176 суток - продолжительность отопительного сезона N.
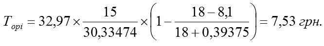
Для октября 2016 г. по Киеву эта часть эффективного тарифа будет:
Вторая часть эффективного тарифа (назовем субстанциональной частью тарифа на отопление и обозначим Тосі ) рассчитывается за фактическое количество суток отопления в і-м месяце и при фактической средней температуре воздуха за месяц. Средний месячный тариф ТО индексируется на соотношение количества суток отопления и среднего количества календарных суток в месяце, а также на соотношение фактической температуры воздуха и среднемесячной многолетней температуры за отопительный сезон, за который рассчитан средний месячный тариф (ТО):
Тосі равняется среднекиевской стоимости фактически потребленной теплоэнергии за і-й месяц в расчете на квадратный метр отапливаемой площади, если считать, что предоставленный "Киевэнерго" объем потребления тепловой энергии соответствует действительности.
Для октября 2016 г. в Киеве при условии подключения тепла 12 октября (20 суток отопления за месяц) эта часть эффективного тарифа составит:
Общий эффективный тариф на отопление за октябрь для тех киевлян, которым тепло подключили 12 октября, равняется:
Тоі = Торі + Тосі = 7,53 + 13,59 = 21,12 грн.
Если квартира имеет площадь (S) 50 кв. м, то размер платы за октябрь должен равняться:
Пі = S х Тоі = 50 х 21,12 = 1056,00 грн.
Для сравнения: по методике Кабмина при тех же данных получим квитанцию на 1647,18 грн, а по формулам В.Дейнеги получится 1235,43 грн. Подставьте в формулы свои данные (фактическое количество суток отопления и отапливаемую площадь) и получите правильный размер оплаты за отопление в октябре. Облегчит расчеты то, что регулятивная часть тарифа для всех киевлян одинаковая (за октябрь Торі = 7,53 грн).
За последующие месяцы расчет можно будет выполнить после обнародования средней фактической температуры воздуха. Для жителей других городов надо знать параметры расчетного отопительного сезона (количество суток в целом и в неполных месяцах), утвержденный общий тариф и средние многолетние температуры.






