21 октября исполнился первый месяц после того, как Кремль фактически признал, что операция не идет по плану и Владимир Путин объявил в России мобилизацию. За это время мало мобилизованных уже успели повоевать против Украины и даже погибнуть. Аналитики OSINT-сообщества InformNapalm подсчитали, сколько в среднем мобилизованный российский живет с момента попадания в ВС РФ.
InformNapalm вычислили основные перевалочные пункты мобилизованных на фронт – тренировочный лагерь в Джанкое в Крыму с последующей передислокацией в Херсонскую или Белгородскую или Ростовую, откуда они оказываются в Луганской области.
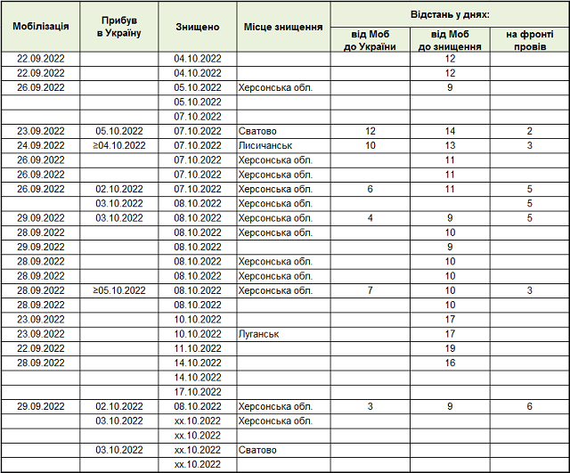
«Нам частично удалось установить данные о дате мобилизации и прибытии в Украину. Из этих данных можно сделать следующие выводы – через неделю после мобилизации россиянин попадает в Украину. Через 12 дней после мобилизации он гибнет в Украине. На фронте в Украине он успевает проводить примерно 4 дня армии. В среднем – 4 суток жизни, а дальше – смерть, ранение или пленение, – говорится в статье InformNapalm. – ВСУ не прощает желания россиян повоевать с Украиной. "Грустная" статистика первых уничтоженных "мобиков" примерно показывает, как будет воевать российский мобилизованный против мотивированной украинской армии».
Больше всего – 12 из 16-ти – погибших российских мобилизованных погибли на Херсонщине. Еще четыре – в Луганской области. В Донецкой и Запорожской областях подобных случаев пока не зафиксировали.
Интересно, что мобилизованные, а это люди, которые не по собственному желанию, а то и против воли попали на фронт, юридически менее защищены, чем воюющие в Украине добровольно. Ведь контрактник имеет право написать рапорт на увольнение по завершении контракта, а мобилизованный будет воевать до конца войны, то есть не известно как долго.
Напомним, всего в Украине погибли уже более 67 000 российских военнослужащих.

