21 жовтня виповнився перший місяць після того, як Кремль фактично визнав, що «операція» не «йде за планом» і Владімір Путін оголосив у Росії мобілізацію. За цей час чи мало мобілізованих вже встигли повоювати проти України і навіть загинути. Аналітики OSINT-спільноти InformNapalm підрахували, скільки в середньому російський мобілізований живе з моменту потрапляння до ЗС РФ.
InformNapalm вирахували основні перевалочні пункти мобілізованих на фронт – тренувальний табір у Джанкої в Криму з подальшою передислокацією на Херсонщину або з Бєлгородщини чи Ростова, звідки вони опиняються на Луганщині.
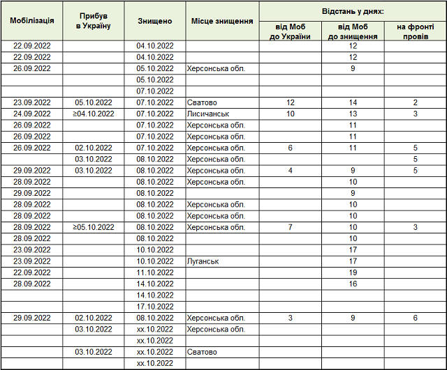
«Нам частково вдалось встановити дані про дату мобілізації та прибуття до України. З цих даних можна зробити наступні висновки – через тиждень після мобілізації росіянин потрапляє до України. Через 12 днів після мобілізації він гине в Україні. На фронті в Україні він встигає проводити, приблизно, 4 дні, армії. В середньому – 4 доби життя, а далі – смерть, поранення або полон, – йдеться у статті InformNapalm. – ЗСУ не пробачає бажання росіян повоювати з Україною. “Сумна” статистика перших знищених "мобіків" приблизно показує, як воюватиме російський мобілізований проти вмотивованої української армії».
Найбільше – 12 з 16-ти – загиблих російських мобілізованих загинули на Херсонщині. Ще чотири – на Луганщині. У Донецькій та Запорізькій областях таких випадків наразі не зафіксували.
Цікаво те, що мобілізовані, а це люди, які не за власним бажанням, а то і проти волі потрапили на фронт, юридично менш захищені за тих, хто воює в Україні добровільно. Адже контрактник має право написати рапорт на звільнення після завершення контракту, а мобілізований буде воювати до кінця війни, тобто не відомо як довго.
Нагадаємо, загалом в Україні загинули уже понад 67 000 російських військовослужбовців.

