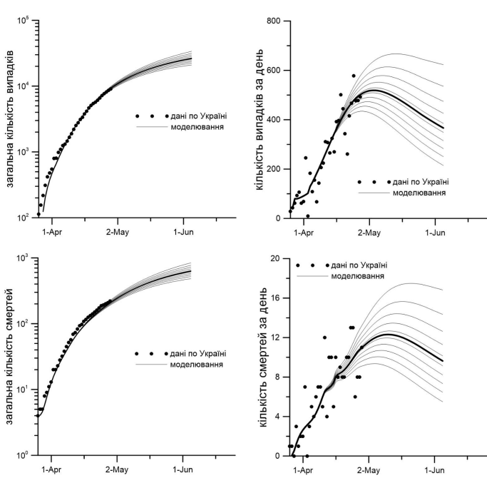
Ученые Национальной академии наук прогнозируют снижение количества заболевших коронавирусом в Украине после 5 мая. Такое развитие событий отображено в "Прогнозе развития эпидемии COVID-19 в Украине и анализе возможных сценариев".
По мнению специалистов, ситуация в Украине аналогична сложившейся в пяти других странах: Польше, Чехии, Швеции и Канаде.
"Можно предположить, что эпидемия в Украине движется по траектории Швеции и Польши с некоторым опозданием... Хотя траектории движения стран близки, Украина раньше (относительно начала эпидемии) ввела карантин, когда были зарегистрированы только единичные случаи в отдельных областях. Это весомый сдерживающий фактор роста заболеваемости COVID-19", - говорится в прогнозе.
Учитывая динамику других стран, ученые предполагают, что период удвоения общего количества случаев больше десяти дней свидетельствует о приближении эпидемии к своему пику. При этом пик заболеваемости может проявляться не в виде одного резкого увеличения количества подтвержденных случаев инфицирования коронавирусом, а иметь несколько волн.
В Украине пик новых случаев COVID-19 в сутки ориентировочно придется на 2-5 мая, пик летальных исходов - на 3-10 мая. До 5 июня будет наблюдаться уменьшение количества заболевших и умерших.
В Черновицкой и Киевской областях, где по официальным данным фиксируется наибольшее количество больных коронавирусом, в ближайшее время возможно прохождение пика.
"Если удастся предотвратить образование новых локальных кластеров заболеваний, имевших место в этих регионах, можно надеяться на прохождения в них пиков заболеваемости в ближайшее время", - отмечают ученые.
Разработанная украинскими учеными SEIR_U модель развития эпидемии совпадает с выводами их коллег из Центра математического моделирования инфекционных болезней в Лондонской школе гигиены и тропической медицины и Сингапурского университета технологий и дизайна и лаборатории Data-Driven Development Lab.
По состоянию на среду, 29 апреля, в Украине лабораторно подтверждено 9 866 случаев COVID-19. Вспышки заболеваемости в стране фиксировали на Вербное воскресенье и Пасху, когда тысячи верующих проигнорировали призывы оставаться дома и отправились на богослужение в церкви.
С 12 марта на всей территории страны действует карантин. На прошлой неделе Кабинет министров продлил карантинные мероприятия до 11 мая. При этом правительство неоднократно усиливало ограничительные меры в связи с распространением коронавируса.
24 апреля Кабинет министров обнародовал план постепенного выхода из карантина, состоящий из пяти этапов. Если резкого всплеска заболеваемости не будет, внедрять послабления начнут уже 12 мая.


