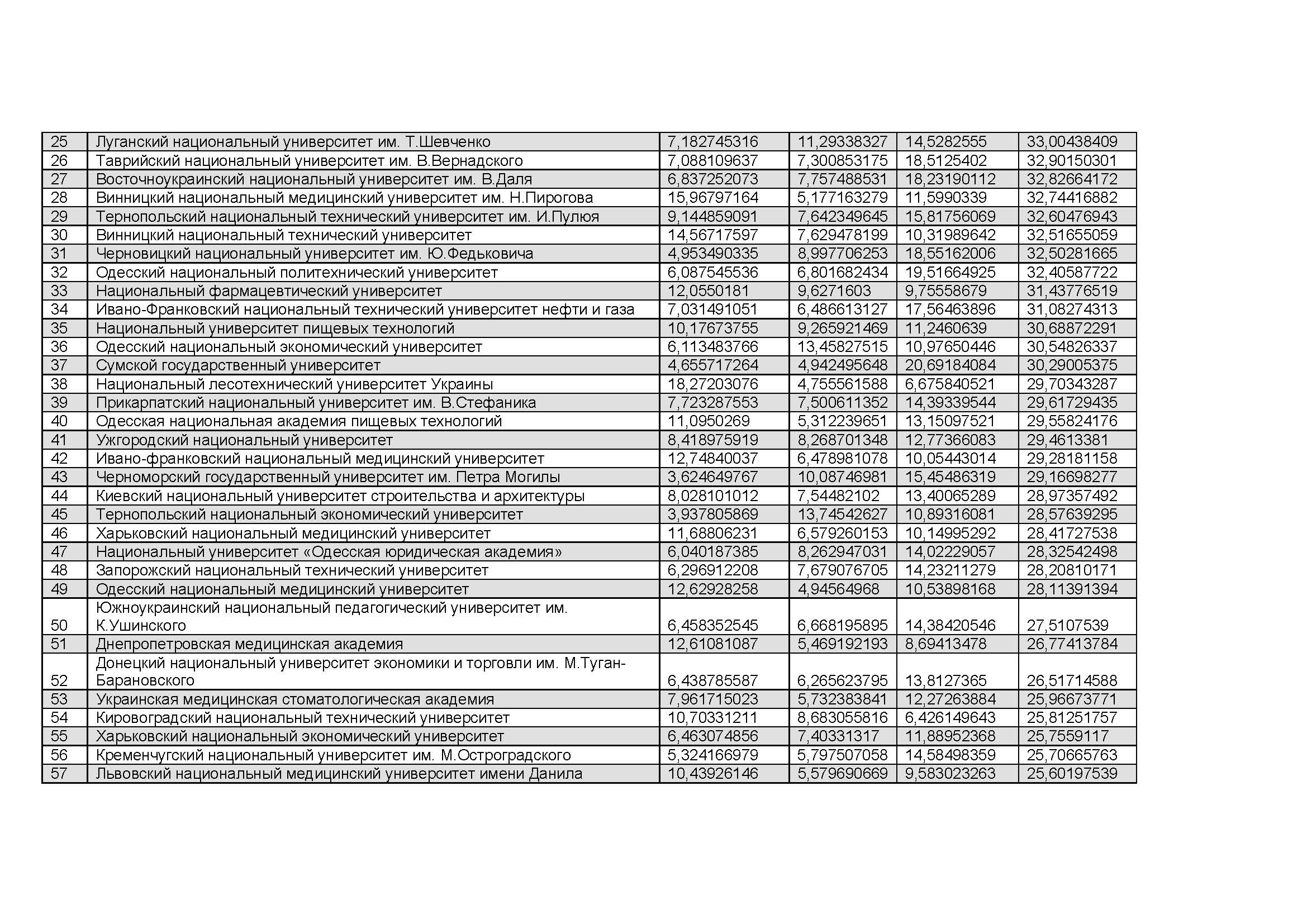
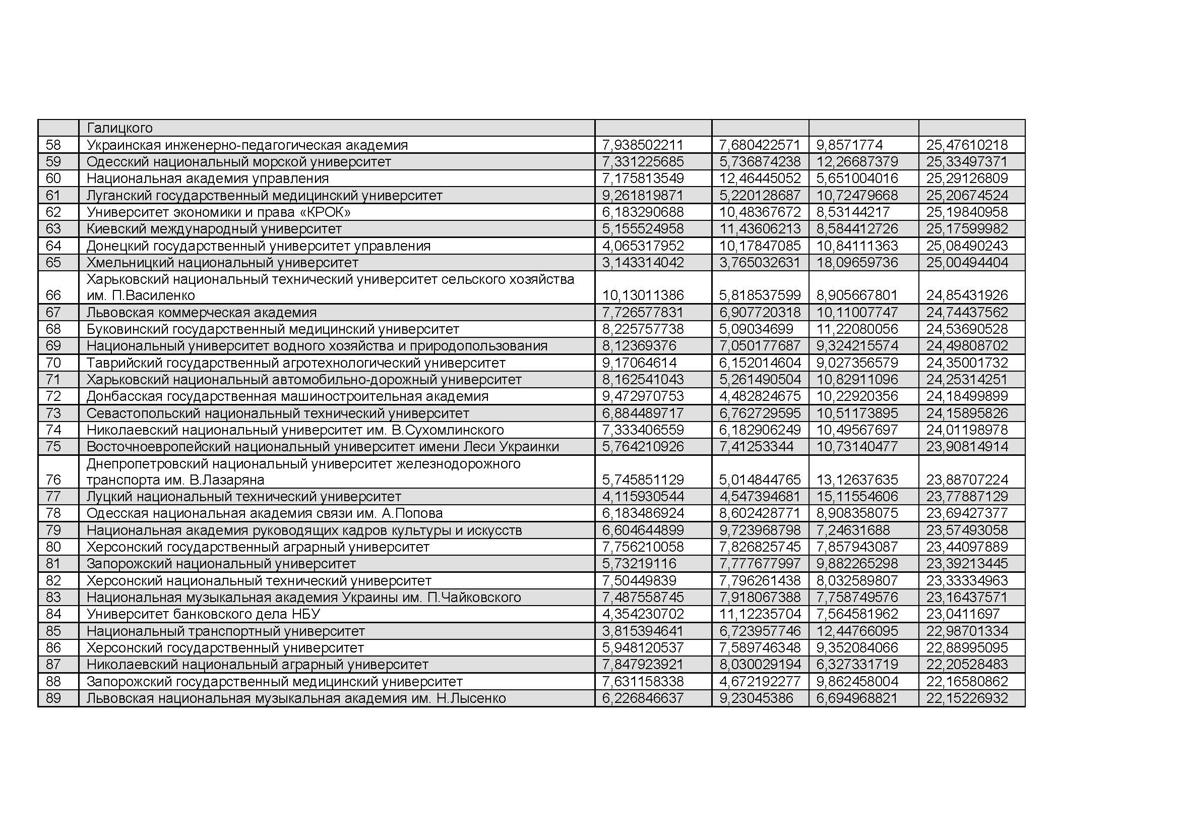
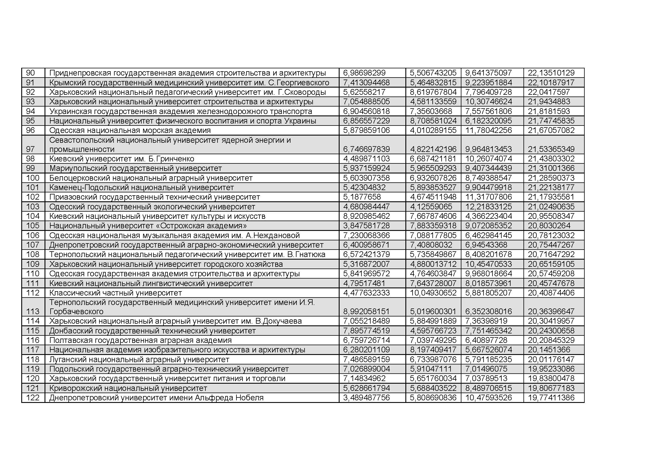
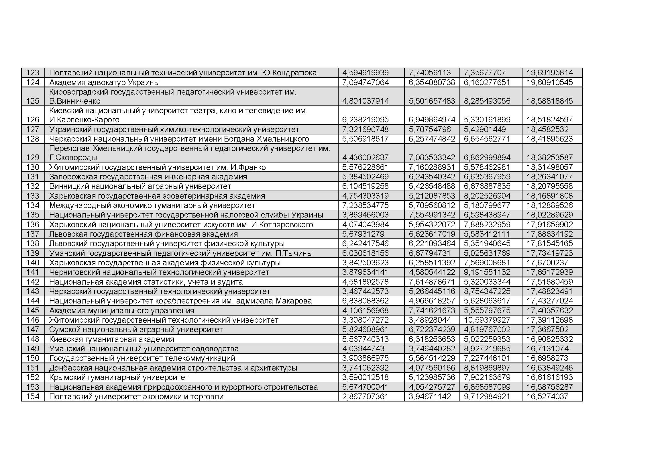
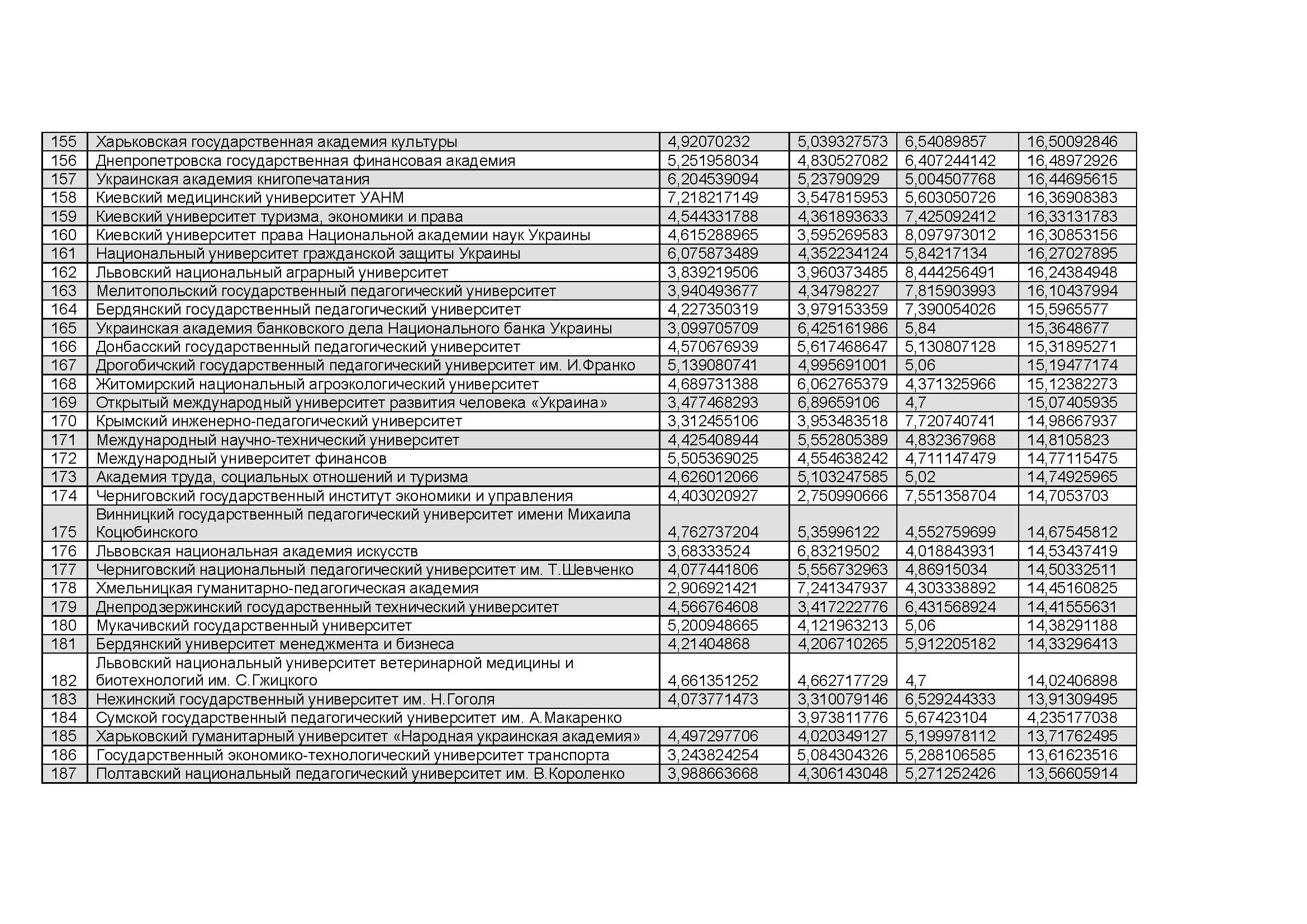
Рейтинг высших учебных заведений Украины в 2014 году "Топ 200 Украина"
16 мая, 2014, 00:00
Поделиться
Заметили ошибку?
Пожалуйста, выделите ее мышкой и нажмите Ctrl+Enter или Отправить ошибку
Пожалуйста выберите один или несколько пунктов (до 3 шт.) которые по Вашему мнению определяет этот комментарий.
Пожалуйста выберите один или больше пунктов
Нецензурная лексика, ругань
Флуд
Нарушение действующего законодательства Украины
Оскорбление участников дискуссии
Реклама
Разжигание розни
Признаки троллинга и провокации
Другая причина
Отмена
Отправить жалобу
ОК







