Компания "Танталит" регулярно платила деньги сотрудникам государственных учреждений за услуги, которые предоставлялись для обслуживания Виктора Януковича.
Об этом свидетельствуют опубликованные YanukovychLeaks документы, найденные в резиденции "Межигорье" после бегства Януковича.
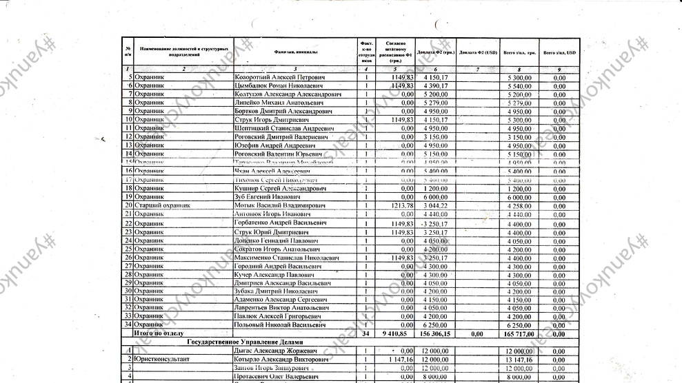
Так, работники отдела службы государственной охраны получали доплату в размере 1,7-5,2 тыс. грн в месяц.
Крупнейшие доплаты у работников Государственного управления делами ("ДУСи"): начальник транспортного отдела Геннадий Кипоть - 16 тыс. грн, юрисконсульты Александр Катили, Александр Дыгас и Игорь Заитов - все по 12 тыс. грн. !zn
